| Die Warnhinweiszettel Nr. 60550290 |
| Dank an: Wolfgang Wendt, Hans-Jürgen Strasdat und Gerd |
|
|
|
Allgemeines: Erschienen 2012. Der WHZ 60550290 zeigt einen neu gestalteten Adresskopf: "PRODUCER (DIR.2009/78/CE):....". |
| Adresskopf: |
![]() |
|
Typ 1= Vorderseite Nummer und eine Zeile tiefer unten rechts
schwarzes Quadrat, Rückseite nur Nummer Typ 2= Vorderseite und Rückseite mit Data Matrix und Nummer |
|
Länderkennzeichen A-Seite: AZ, BG, CS, DA, DE, EL, EN, ES, ET, FI, FR, HR, HU, HY, IT, KA |
|
Länderkennzeichen B-Seite: KK, LT, LV, MK, NL, NO, PL, PT, RO-MO, RU, SK, SL, SQ, SR, SV, TR, UK, arabische Zeichen 1, arabische Zeichen 2, asiatische Zeichen 1, asiatische Zeichen 2 |
| Format: mm |
|
Bekannte Varianten: Typ 1= Quadtart groß und Quadrat klein Typ 2= unterschiedliche Data Matrix |
|
|
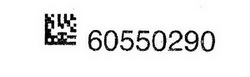
| Typ 1= Vorderseite Nummer und eine Zeile tiefer unten rechts schwarzes Quadrat, Rückseite unten rechts nur Nummer |
![]() |
![]() |
|
|
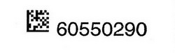
| Typ 2= Vorderseite und Rückseite mit Data Matrix und Nummer |
![]() |
![]() |
|
|
![]() |
| Typ 1: Variante: Quadrat groß und Quadrat klein |
|
|
![]() ![]() ![]() |
![]() ![]() ![]() |
| Typ 2: Variante: unterschiedliche Data Matrix |
|
|